模型分析 > Creo Behavioral Modeling 工具 > 比较图形 > 比较两个图形
  
比较两个图形
匹配两个图形需要两个基本步骤:
1. 创建比较两个图形的“关系分析特征”。使用“分析”特征来计算图形间的差异。
2. 运行优化研究以最小化该差异。
要比较两个图形,需要使用下列语法添加一个关系:relation_name = comparegraphs("name_1", "name_2", "type", left_bound_1, right_bound_1, left_bound_2, right_bound_2),其中:
relation_name - 是关系的名称。
name_1 - 是第一个图形或分析特征的名称。
name_2 - 是第二个图形或分析特征的名称。
left_bound_1right_bound_1 – 是第一个图形的左边界和右边界。
left_bound_2right_bound_2 – 是第二个图形的左边界和右边界。
type - 是计算图形之间差异的方法。从以下类型中选取:lone (默认)、ltwolinfarea。该表说明了测量的不同类型。
测量类型
依据公式
测量内容
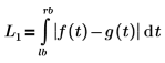
lone
测量 f(t) 图形和 g(t) 图形之间的面积。
其中,
lb = 左边界
rb = 右边界
lb<t<rb
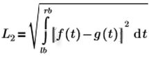
ltwo
当 |f(t) - g(t)| 为偏差测量值时,偏差的较大值在 L2 范数中具有更大的权重。
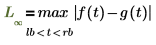
linf
测量两个函数之间的最大偏差。
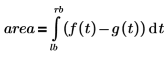
区域
测量 f(t) 图形和 g(t) 图形之间的有符号面积。
当指定 comparegraphs 函数的自变量时,有以下选项:
仅指定两个自变量 - 仅指定图形的名称。默认情况下,系统使用 lone 测量类型以及图形的整个长度。
仅指定三个自变量 – 指定两个图形的名称和测量类型。默认情况下,系统使用图形的整个长度。
指定所有 7 个自变量。
 
* 可将第二个图形的名称 (name_2) 指定为 "zero"。然后系统将计算函数,计算相对于水平基础 y=0。