Creo Flow Analysis > 预处理 > 定义物理 > 常用 > 定义
  
定义
“密度”(Density) - 用于定义流体流动状态 (可压缩或不可压缩) 的材料属性。密度状态的本构方程具有以下常规形式:
其中,
T
温度
kg/m3
密度
除了使用表达式编辑器的用户定义密度定律之外,系统还提供了多个用于确定流量密度的特殊状态本构方程,用于实现上述适用方程。
“固定密度”(Constant Density) - 在流体流动中,固定密度的假设将流量简化为不可压缩流量。对于大多数液体,密度均被视为一个常数,除非液体处于压力和/或温度的巨变下。
“可压缩液体”(Compressible Liquid) - 在水锤和燃油喷射器中,液体的可压缩性效果对确定流动特性至关重要,因此将显著影响流动元件和/或设备的性能。Creo Flow Analysis 中提供了以下可压缩液体模型:
“理想气体定律”(Ideal Gas Law) - 对于可压缩流,理想气体定律确定了气体密度与绝对流动压力和温度的关系,如下所示:
其中,
P
以 N/m2 表示的绝对压力 (表压 + 操作/参考压力)
T
静态温度 (Kelvin)
Mw
分子量
R
通用气体常数
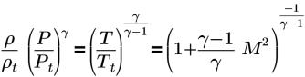
“等熵气体定律”(Isentropic Gas Law) - 在 Flow Analysis 中,是指绝对开氏温度 (K)。对于热力属性,发生热能传递的条件是存在温度差。
其中,
ρt
参考密度
Pt
参考压力
Tt
参考温度
γ=CP/CV
绝热指数,即等压比热与等容比热之比
M
马赫数
“质量分数平均值”(Mass Fraction Average) - 用于计算选定体积块内多组分混合物的平均密度的方法。
其中,
ρi
密度
fi
各个组分的浓度
“体积分数”(Volume Fraction) - 选定体积块内或某点处的组分体积除以总体积。