边界条件
流动模块的边界条件参数将应用于 Flow Analysis 树中的边界。这些选项也可以应用于特定界面 -
流动模块将在此类界面的一侧处于遮蔽状态,从而创建
“边界”(Boundary)。
当在 Flow Analysis 树中的“普通边界”(General Boundaries) 下选择边界时,边界条件将显示在“属性”(Properties) 面板中。
壁
流动的
“壁”(Wall) 边界条件对应于实体边界。
流动模块的壁意味着边界处具有剪切 (阻力),但没有法向
速度分量 (例如没有流动)。当
湍流模块处于活动状态时,可使用
“壁粗糙度模型”(Wall Roughness Model) 选项解释壁的粗糙度。此选项也可用于将剪切壁速度分配到
“壁”(Wall) 边界条件。
• “选项”(Options)
要在壁处引入剪切,可为
流动模块中的
“壁”(Wall) 边界条件选择
“选项”(Options)。
◦ “静止”(Stationary) - 假定壁为静止壁。
◦ “笛卡尔”(Cartesian) - 在壁处按速度的
X、
Y 和
Z 分量引入剪切。
“壁”(Wall) 边界条件处的
速度是相对于静止实验室参考系的输入。
◦ “切向”(Tangential) - 在壁处按壁的法向引入剪切。壁边界条件处的切向速度是相对于“垂直于壁速度的矢量”(Vector Normal to Wall Velocity) 和一个值的输入。
“壁”(Wall) 边界条件的
速度用于在壁处引入剪切。在此情况下,仅使用切向速度。
“壁”(Wall) 边界条件的速度将以数字形式将动量源引入
动量。
“壁”(Wall) 边界条件的速度不会实际移动边界,因为它不会更改域的形状。
• “壁类型”(Wall Type)
为“壁类型”(Wall Type) 指定以下选项之一:
◦ “刚性”(Rigid) - 生成非变形壁。
◦ “挠性”(Flexible) - 生成不会实际移动与壁关联的网格的变形壁。通过更改临近单元的有效体积块,即可包括壁运动的效果。
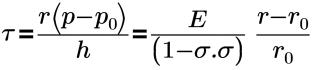
以下方程用于计算应力、虚拟位移和壁速度:
其中,
τ | 壁剪切应力 |
r | 管道半径 |
r0 | 参考半径 |
p | 流体压力 (Pa) |
p0 | 参考压力 |
h | 壁厚 |
E | 杨氏模量 |
σ | 泊松比 |
对于“变形模型”(Deformation Model),模型挠性壁通过以下两种方式完成:
◦ “弹性管道”(Elastic Pipe) 模型 - 需要半径、壁厚度、杨氏模量、泊松比和参考压力作为输入,构成 (x、y、z、t) 函数和任意有效变量。这可通过使用解析表达式完成或使用表指定。
◦ “用户定义”(User Defined) - 使用解析表达式或以表格形式指定位移与压力的函数关系。
• “高阶剪切”(High Order Shear)
流动模块中
“壁”(Wall) 边界条件的
“高阶剪切”(High Order Shear) 选项使用抛物函数而非线性函数来表示壁附近的速度曲线。可在下列情况下使用此函数:
◦ 用于近壁层流
◦ 用于近壁单元位于湍流层流子层内的情况
◦ 用于减少用来解决薄间隙 (受粘滞剪切力显著影响) 内的流动的单元数量。
指定的速度
使用
“指定的速度”(Specified Velocity) 边界条件可设置开口处的流体
速度 (m/s),从而创建入口和/或出口。
“指定的速度”(Specified Velocity) 用于设置边界处的速度。对应的质量流量相应地由相对于边界面积和方向的流体密度和速度确定。您可以使用下述选项为
“指定的速度”(Specified Velocity) 边界条件设置速度的方向和大小:
• “笛卡尔”(Cartesian) - 相对于模型坐标系以 X、Y 和 Z 速度分量的形式输入边界速度。
• “边界法向”(Boundary Normal) - 输入垂直于边界的边界速度。速度大小由“法向速度分量”(Normal Velocity Component) 控制。流动方向可通过选择“流入”(Inflow)、“流出”(Outflow) 或“两者”(Both) 进行设置:
◦ “流入”(Inflow) - 允许流入域。
◦ “流出”(Outflow) - 允许流出域。
◦ “两者”(Both) - 允许流入或流出域。
对于“流入”(Inflow) 或“流出”(Outflow),负“法向速度分量”(Normal Velocity Component) 将重置为正值,以避免体积通量值的符号对流动方向产生影响。
| 在 Creo Flow Analysis 中, “边界”(Boundary) 处的正质量通量或体积通量与流出相对应。 |
• “漩涡”(Swirl) - 在“边界”(Boundary) 处引入漩涡流。流入量大小由“法向速度分量”(Normal Velocity Component) 控制。流动方向可通过选择“流入”(Inflow)、“流出”(Outflow) 或“两者”(Both) 进行设置。漩涡速度由“旋转速度”(Rotational Speed)、“旋转中心”(Rotational Center) 和“旋转轴矢量”(Rotational Axis Vector) 控制。
◦ 旋涡旋转方向将以观察员的角度相对于静止 (实验室) 参考系指定,并使旋转轴矢量向前拉直。顺时针或逆时针旋转方向仅接受旋转速度正值。如果选择“双向”作为旋涡旋转方向,则可基于旋转速度符号指定旋转方向,使正值表示顺时针旋转,负值表示逆时针旋转。
◦ 边界旋转速度的大小相对于静止 (实验室) 参考系进行指定。
指定的体积通量
使用
“指定的体积通量”(Specified Volumetric Flux) 边界条件可设置流体的体积通量 (m
3/s),从而创建入口和/或出口。
“指定的体积通量”(Specified Volumetric Flux) 用于设置边界处的速度。对应的质量流量相应地由相对于边界面积和方向的流体密度 ρ 和速度 v 确定。
“指定的体积通量”(Specified Volumetric Flux) 是指边界上体积通量的积分。与
“指定的体积通量”(Specified Volumetric Flux) 相关联的速度可以为
“均匀”(Uniform),也可以基于
“完全展开”(Fully Developed)。您可以使用下列选项指定
速度的方向和大小:
1. “流动方向”(Flow Direction) - 通过选择“流入”(Inflow)、“流出”(Outflow) 或“两者”(Both) 进行控制。
2. “速度曲线”(Velocity Profile) - 将“指定的体积通量”(Specified Volumetric Flux) 边界条件的速度曲线设置为以下选项之一:
◦ “均匀”(Uniform) - 边界处的速度恒定,基于边界面积 (A) 和方向:V = (体积通量)/面积。
◦ “完全展开”(Fully Developed) - 边界处的速度曲线与下游单元中心的速度曲线相似 (形状相同)。
指定的总压力
使用“指定的总压力”(Specified Total Pressure) 边界条件可设置流量流入或流出域的开口处的“总压力”(Total Pressure)。在求解过程中,将计算边界处的流动速度。您可以指定方向和压力。
• “方向选项”(Directional Option) - 边界速度矢量的方向可使用以下选项进行约束:
◦ “笛卡尔”(Cartesian) - 相对于模型坐标系将边界速度约束为指定方向。“流动方向”(Flow Direction) 矢量分量 (X、Y 和 Z) 将与“笛卡尔”(Cartesian) 选项结合使用,以将边界速度约束为指定方向。
◦ “边界法向”(Boundary Normal) - 将边界速度约束为垂直于边界。“边界法向”(Boundary Normal) 使用选定边界中各个单元表面的局部法向。
• “总压力”(Total Pressure)
• “速度曲线”(Velocity Profile) - 将“指定的体积通量”(Specified Volumetric Flux) 边界条件的速度曲线设置为以下选项之一:
◦ “均匀”(Uniform) - 边界处的总压力恒定,基于“边界”(Boundary) 面积 (A) 和方向。
◦ “零梯度”(Zero Gradient) - 边界处的总压力基于内部总压力的推演。没有更改或梯度。
旋转壁
“旋转壁”(Rotating Wall) 用于仿真旋转壁的剪切效果。其中包含以下选项:
• “壁类型”(Wall Type) - 指定“刚性”(Rigid) 或“挠性”(Flexible)
• “高阶剪切”(High Order Shear)
• “旋转方向”(Rotational Direction) - 确定旋转壁的旋转方向。边界旋转方向将以观察员的角度相对于静止 (实验室) 参考系指定,并使旋转轴矢量向前拉直。选择“双向”(Both Directions) 边界旋转来指定旋转方向。此方向基于旋转速度的符号,正值表示顺时针旋转,负值表示逆时针旋转。
• “旋转速度”(Rotational Speed)
• “旋转轴矢量”(Rotational Axis Vector)
• “旋转中心”(Rotational Center)
• “轴向速度”(Axial Velocity)
• “输出”(Output)
对称
流动对称意味着边界处没有剪切 (即理想滑动),也没有法向速度分量 (即没有流动)。流动对称还意味着边界处没有法向压力梯度。流动对称与壁边界条件不同,因为壁中具有剪切。流动的“对称”(Symmetry) 边界条件通常与模型中的物理对称相对应。但如果此边界条件的效果具有逻辑性,则两者不必对应。例如,您可以用它来仿真自由曲面。
可用作
“对称”(Symmetry) 边界条件输出的积分数量为
面积和
法向。
指定的压力出口
使用“指定的压力出口”(Specified Pressure Outlet) 边界条件可设置流动流出域的开口处的静态压力。对于回流,动量源也可以通过关联的“回流速度 (可选)”(Back Flow Velocity(optional)) 及其 (X、Y、Z) 输入进行添加。在求解过程中,指定的压力出口将确定通过边界的质量流量。
“指定的压力出口”(Specified Pressure Outlet) 边界条件包括以下选项:
• “压力”(Pressure) - 确定出口处的
静态压力。如果流体的属性取决于压力,则压力应为绝对压力。否则,压力可以是相对压力,如表压。
• “速度曲线”(Velocity Profile) - 将“指定的压力出口”(Specified Pressure Outlet) 边界条件的速度曲线设置为以下选项之一:
◦ “用户指定”(User Specified) - 指定回流速度。使用与“回流速度 (可选)”(Back Flow Velocity(optional)) 相关联的“指定的压力出口”(Specified Pressure Outlet) 参数可包括此边界处的任何回流动量源。该值以 X、Y 和 Z 速度分量的形式进行输入。“回流速度 (可选)”(Back Flow Velocity(optional)) 参数不会直接影响质量流量。它会添加或移除任何流回域的流体的动量源。流动可以在指定的压力出口流入或流出域。如果流动在指定的压力出口流出域 (按预期),则“回流速度 (可选)”(Back Flow Velocity(optional)) 的值无关紧要。如果流入流体具有较高的动压头,则可选的“回流速度 (可选)”(Back Flow Velocity(optional)) 至关重要。
◦ “均匀”(Uniform) - 出口处的速度为匀速。
◦ “完全展开”(Fully Developed) - 边界处的速度曲线与下游单元中心的速度曲线相似 (形状相同)。
• “输出”(Output)
指定的压力入口
使用“指定的压力入口”(Specified Pressure Inlet) 边界条件可设置流动流入域的开口处的静态压力。您也可以使用关联的速度输入在此类边界处添加动量源。在求解过程中,“指定的压力入口”(Specified Pressure Inlet) 将确定通过边界的质量流量,其中包括以下选项:
• “压力”(Pressure) - 控制入口处的
静态压力。您也可以使用可选的
“速度 (可选)”(Velocity(optional)) 包括动态压力效果。如果流入流体具有较高的动压头,则使用
“指定的总压力”(Specified Total Pressure) 边界条件来替代指定的压力入口。
• “速度曲线”(Velocity Profile) - 可指定为“用户指定”(User Specified)、“均匀”(Uniform) 或“完全展开”(Fully Developed)。
◦ “用户指定”(User Specified) - 指定回流速度。使用与“指定的压力入口”(Specified Pressure Inlet) 相关联的“速度 (可选)”(Velocity(optional)) 参数可包括此边界处的任何流入流体动量源。该值以 X、Y 和 Z 速度分量的形式进行输入。可选的“速度 (可选)”(Velocity(optional)) 参数不会直接影响质量流量,仅会添加或移除流入流体的流体的动量源。流动可以在指定的压力入口流入或流出域。如果流动在指定的压力入口流出域,则可选的“速度 (可选)”(Velocity(optional)) 的值无关紧要。如果流入流体具有较高的动压头,则可选的“速度 (可选)”(Velocity(optional)) 至关重要。
◦ “均匀”(Uniform) - 入口处的速度为匀速。
◦ “完全展开”(Fully Developed) - 边界处的速度曲线与下游单元中心的速度曲线相似 (形状相同)。
| 如果流入流体具有较高的动压头,则也可以使用 “指定的总压力”(Specified Total Pressure) 边界条件来替代 指定的压力入口。 |
流阻器容阻器
“流阻器容阻器”(Resistor Capacitor) 可让您从多个 1-D 模型中进行选择,以确定选定边界的流量-压力关系。流出域的质量通量 (kg/s) 为正值。“流阻器容阻器”(Resistor Capacitor) 的“模型”(Model) 选项下提供了以下模型:
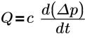
• “DP-Q 曲线”(DP-Q Curve) - 将流动速率指定为压力的函数。
其中,
Q | 体积通量 (m3 /s) |
P环境 | 环境压力 (Pa) |
dP | (P单元格 – P环境) 会作为本地表达式编辑器变量计算和使用 |
“DP-Q 曲线”(DP-Q Curve) 选项需要一个表达式或表,在其中将流动速率 Q 定义为增量 P (dP) 的函数,以用于“体积通量”(Volumetric Flux) 输入字段。否则,不存在增量压力 (dP) 相关性。作为“环境压力”(Environment Pressure) 和边界单元压力的函数的 dP 会通过代码进行计算,并作为本地表达式编辑器使用。dP 的单位是帕斯卡。
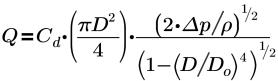
• “孔口”(Orifice) - 计算体积流量,如同边界处具有圆形孔口。方程和输入如下所示:
其中,
Q | 体积通量 (m3 /s) |
Δp | (Psystem - 环境压力) (Pa) |
Ρ | 上游单元流体密度 (kg/m3) |
D | 孔口直径 (m) |
Do | 孔口周围上游壁的直径 (假定 >> D,如此便可忽略 (D/Do)4)。 |
参考:Frank M. White, Viscous Fluid Flow, 1974 ISBN 0-07-069710-8, p. 227 |
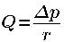
• “流阻器”(Resistor) - 根据压力降和有效流阻计算通过边界的体积流量。方程和输入如下所示:
其中,
Q | 体积通量 (m3 /s) |
Δp | Psystem - 环境压力 (Pa) |
r | 流阻器-r (Pa-s/m3) |
• “容阻器”(Capacitor) - 根据压力降和流容计算通过边界的体积流量。
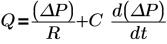
• “双元件”(2 Elements) - 根据由流阻器和容阻器组成的电路,确定选定“边界”(Boundary) 的流动-压力关系。双元件流阻器-容阻器的方程如下所示:
其中,
Q | 体积流动速率 (m3 /s) |
ΔP | 系统压力 - 环境压力 (Pa) |
R | 流阻器-R (Pa-s/m3 ) |
C | 容阻器 (m3/Pa) |
| 此边界条件基于用于心血管循环系统建模的双元件弹性腔模型。参考:1) Daniel R. Kerner, Ph.D. 以及 2) Broemser, Ph., et. al.,``Uber die Messung des Schlagvolumens des Herzens auf unblutigem Weg'', Zeitung für Biologie 90 (1930) 467-507。 |
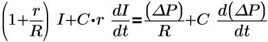
• “三元件”(3 Elements) - 根据由两个流阻器和一个容阻器组成的电路,指定选定“边界”(Boundary) 的流量-压力关系。三元件流阻器-容阻器的方程如下所示:
其中,
I | 体积流动速率 (m3 /s) |
ΔP | 系统压力 - 环境压力 |
r | 流阻器-r (Pa-s/m3) |
R | 流阻器-R (Pa-s/m3 ) |
C | 容阻器 (m3/Pa) |
流出域的质量通量 (kg/s) 为正值。
| 此边界条件基于常用于心血管循环系统建模的三元件弹性腔模型。参考:1) Daniel R. Kerner, Ph.D. 以及 2) Broemser, Ph., et. al.,``Uber die Messung des Schlagvolumens des Herzens auf unblutigem Weg'', Zeitung für Biologie 90 (1930) 467-507。 |
界面条件
仅当流动在界面的一侧处于
“遮蔽”(Blanked) 状态时,
流动模块的界面条件才与边界条件相同。如果
“流动”(Flow) 模块在
“界面”(Interface) 两侧均处于活动状态,则只能将其作为
“默认界面”(Default Interface) 分配。
对于将流体与流体相连的界面,
“默认界面”(Default Interface) 是默认的
流动模块选项。可用于
“默认界面”(Default Interface) 的
流动模块
“输出”(Output) 包括面积、法向、质量流速、体积流动速率、动量、压力、平均总压力以及平均静态压力。
您可以在“属性”(Properties) 面板中的
流动模块下为选定
“界面”(Interface) 指定以下界面条件和相关联的
流动参数。
• “风扇”(Fan) - 通过指定“流动方向”(Flow Direction)、表示流量-压力关系的“DP-Q 曲线”(DP-Q Curve) 以及“旋涡”(Swirl) (使用“中心”(Center)、“切向速度”(Tangential Velocity) 和“径向速度”(Radial Velocity) 进行指定)。
• “压力跃升”(Pressure Jump) - 通过指定“流动方向”(Flow Direction)、表示流量-压力关系的“DP-Q 曲线”(DP-Q Curve) 以及“旋涡”(Swirl) (使用“中心”(Center)、“切向速度”(Tangential Velocity) 和“径向速度”(Radial Velocity) 进行指定)。
• “多孔表面”(Porous Surface) - 通过将流体与流体相连的可渗透界面添加流阻。与表面多孔模型相关联的变量包括:“厚度”(Thickness)、“渗透率”(Permeability) 和“二次系数”(Quadratic Coefficient)。界面中单位距离的压力降可使用 Darcy Forchheimer 定律进行计算:
界面的压力降通过将 F 与有限厚度相乘来计算。孔隙率在“通用”(Common) 模块中设置。
输出
可用作
“边界”(Boundaries) 的
流动模块输出的积分数量显示在
输出变量中。