定义
• “传导率”(Conductivity) - W/(m-K) 为流体或固体的热传输属性,其根据傅立叶定律将热流密度 (W/m2) 与温度梯度关联在一起
q=– k▽T
• “共轭壁”(Conjugate Wall) - 材料之间的界面具有不同的热属性,例如不同固体材料之间的“固体-流体”界面和“固体-固体”界面。
• 内能 (u) - 流体或实体的热力学比内能 (J/kg)。
• “焓”(Enthalpy) (h) - 用于度量热力学系统的能量 (J/kg),其定义如下所示:
其中,
• “温度”(Temperature) - Flow Analysis 中的绝对温度(开氏度 (K)),或热力学属性中将能量以热量形式传递的驱动势。
• 能量平均值 T - 平均温度,确定方法为集成能量并对其求平均值,然后将其转换为温度。能量平均值 T 的计算会假定比热为常数。
• “单位面积通量”(Flux per Area) - 覆盖选定边界或界面的热量的单位面积平均瓦特数 (W/m2)。
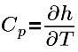
• “热容”(Heat Capacity) - (J/(kg-K)) 流体或固体的热属性,与焓随温度的变化率有关。
• “恒定容量”(Constant Capacity) - 该选项可根据恒定比热计算温度 (T) 与界面 (h) 之间的关系。
• 质量平均“焓”(Enthalpy) - 可根据质量平均值而非体积块平均值计算选定体积块的平均焓。
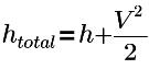
• “总焓”(Total Enthalpy) 或滞止焓 - 与静态焓 h 的关系如下所示:
其中,
h总 | 总焓 (J/kg) |
h | 静态焓 (J/kg) |
V | 速度 (m/s) |
• 质量平均总“焓”(Enthalpy) - 可根据质量平均值 (而非体积块平均值) 计算选定体积块的总焓。
• 质量平均“内能”(Internal Energy) - 可根据质量平均值 (而非体积块平均值) 计算选定体积块的平均内能。
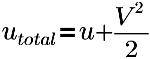
• “总内能”(Tot. Internal Energy) (u总) - 流体或实体滞止 (J/kg) 时的内能。
其中,
u总 | 总内能 (J/kg) |
u | 内能 (J/kg) |
V | 速度 (m/s) |
• 质量平均总“内能”(Internal Energy) - 可根据质量平均值 (而非体积块平均值) 计算选定体积块的平均总内能。
• Prandtl 数 - 动量扩散系数 (运动黏度) 与热扩散系数的比值。
• “总通量”(Total Flux) - 覆盖选定边界或界面的热量的总瓦特数 (W)。
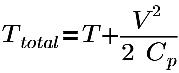
• “总温度”(Total Temperature) 或滞止温度 - 与静态温度 (T) 的关系如下所示:
T总 | 总温度 (K) |
T | 静态温度 (K) |
Cp | 比热 |
V | 速度 (m/s) |