Creo Flow Analysis
>
预处理
>
定义物理
>
热
>
物理
>
热模型
热模型
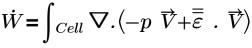
粘性工作
粘性工作可以包括到能量方程的贡献度粘性力。如果将
“包括黏性作用”(Include Viscous Work)
设置为
“否”(No)
,就能量方程而言,流体会被视为非粘性流体。
其中,
每秒工作 (J/s)
p
压力 (Pa)
曲面法向
将粘性力加入应力张量 τ
ij
,使
τ
ij
应力张量、曲面元素 (在 i
th
方向具有外向单位法向) 中 j
th
方向单位面积上的力。
对流
对流为一种热边界条件,其中,热流密度为对流热传递的函数。这也称为是牛顿冷却定律。该定律基于外部对流环境温度和交换系数 (h),如下所示:
其中,
功率 (J/s)
h
交换系数 (W/m
2
-K)
T
环境
对流环境温度 (K)
T
边界温度 (K)
辐射
辐射为一种基于辐射率和外部辐射环境温度的热边界条件,其中,热流密度为辐射热传递的函数。
其中,
功率 (J/s)
ε
辐射率
σ
斯蒂芬-玻尔兹曼常数 = 5.670 x10
−8
(W/m
2
K
4
)
T
辐射环境
辐射环境温度 (K)
T
边界温度 (K)