Creo Flow Analysis > 预处理 > 定义物理 > 湍流 > 定义
  
定义
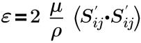
湍流能量耗散率 - 湍流模型中使用的自变量 (m2/s3)。湍流能量耗散率是湍流动能耗散率的测量值:
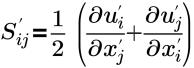
其中,
v'
湍流波动速度
S'ij
应变张量
u'ij
湍流波动速度的分量
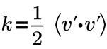
湍流动能 - 用来度量主流动能的波动情况 (k m2/s2)。
其中,
v'
湍流波动速度
以上动能术语依据单位质量 (kg),因此在技术上不属于能量。
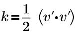
湍流动能 (体积块) - 体积块中所有湍流动能的总和 (k m2/s2)。湍流动能用来度量主流动能的波动情况:
v'
湍流波动速度
以上动能术语依据单位质量 (kg),因此在技术上不属于能量。
湍流黏度 - 影响湍流的有效黏度 (Pa-s)。
Y 正向 - 无量纲壁距离。Y 正向用于壁模型的对数律。
“有效黏度”(Effective Viscosity) - 有效动态黏度 (泊或 Pa-s) 通过 Turbulence 模块进行计算,用于替换 Flow 模块公式中的层流黏度。有效黏度不包括蒸发或曝气效应。假设有效黏度为牛顿黏度,其中不包括剪切效果。