Creo Flow Analysis > 预处理 > 定义物理 > 空化 > 定义
  
定义
曝气 - 空化模型的组成部分,用于说明液相系统中的 NCG。
全部气体体积 - 选定体积块内的液体中自由 NCG、溶解气体和蒸汽的组合体积。
全部气体体积分数 - 选定体积块内的液体中自由 NCG、溶解气体和蒸汽的平均体积分数。
溶解气体 - 溶解在液体中的 NCG。它在平衡溶解气体模型、溶解气体模型和完整气体模型中均有涉及。
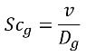
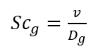
溶解气体施密特数 - 液体中溶解 NCG 的施密特数。用于计算溶解气体模型中的质量扩散系数。
其中,
Dg,d
NCG 在液体中的质量扩散系数 (m2/s)
溶解气体体积 - 选定体积块内的液体中所溶解 NCG 的总体积。溶解气体的密度与液体密度相同。
溶解气体体积分数 - 选定体积内的液体中所溶解 NCG 的体积分数。
溶解质量分数 - 给定位置处的液体中所溶解 NCG 的质量分数。
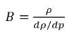
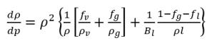
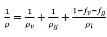
具有空化效应的有效体积模量 - 对于空化流,有效体积模量 B 基于液体和气体的混合物。按照 Nykanen 模型 (Nukanen 2000),B 是根据液体、蒸汽和不可凝结气体的混合密度 (ρ) 定义的:
方程 2.158
方程 2.159
其中,
l
液体
v
蒸汽
g
系统中的全部不凝性自由气体
ƒ
质量分数
ρ
局部流压
Bl
液体体积模量
混合密度也称为方程 2.161 中定义的有效流体密度。
有效蒸汽密度 - 在不考虑温度影响的情况下,采用波义耳定律计算局部 (有效) 蒸汽密度:
方程 2.160
其中,
psat
饱和压
ρsat
给定温度下的密度
如果由于“热”(Heat) 模块处于活动状态而导致温度变化,则饱和时的蒸汽密度也是温度的函数。使用“表达式编辑器”(Expression Editor) 来包括热效应。
有效黏度 - 域中流体混合物的黏度。默认情况下,Creo Flow Analysis 不包括蒸汽或 NCG 对混合物黏度 (仅限液体黏度) 的影响。
具有空化效应的 (有效) 流体密度 - 根据液体、流体蒸汽和 NCG (如空气) 的质量分数和密度,按照下列公式计算:
方程 2.161
其中 ρv、ρg、ρl 和 ρv 遵循各自的密度定律;而 ƒv、ƒg 和 ƒl 是直接指定或通过求解传输方程得出,具体取决于组分和空化模型。
气体质量分数 - 流体中非溶解 (自由) NCG 的质量分数,例如液态水中自由空气的质量分数。也称为自由气体质量分数,不包括任何溶解的不可凝结气体。
气体施密特数 - 液体中 NCG 的施密特数。用于计算可变气体质量分数模型和完整气体模型中的质量扩散系数 D。
其中,
v
主流体的运动黏度 (m2/s)
Dg
NCG 在液体中的质量扩散系数 (m2/s)
气体体积 - 选定体积内的液体中自由 NCG 的总体积。
气体体积分数 (Gas Vol Fraction) - 选定体积内的液体中自由 NCG 的体积分数。
液体体积 - 选定体积块内的液体的总体积。
液体体积分数 - 选定体积块内的液体的体积分数。
NCG (或称不可凝结气体) - 液体中不同于液体蒸汽的气体。因此,它可以溶解或释放,但不会通过蒸发或冷凝产生或吸收。密度根据理想气体定律基于气体分子量、局部压力和温度计算。
施密特数 - 定义如下:
方程 2.162
其中,
ρ
密度 (kg/m3)
v
运动黏度 (m2/s)
D
质量扩散系数 (m2/s)
µ
动态黏度 (Pa-s)
总体积分数 - 自由 NCG、溶解气体和蒸汽组合相对于总流体体积的局部体积分数。
蒸汽 - 液体物质的气相 (在低于其临界温度的温度下),例如水蒸汽。
蒸汽质量分数 - 流体中蒸汽的总质量分数。
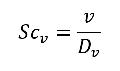
蒸汽施密特数 - 液体中蒸汽的施密特数。用于计算所有空化模型中蒸汽的质量扩散系数 Dvapor
其中,
Dv
蒸汽在主液体中的质量扩散系数 (m2/s)
蒸汽体积 - 选定体积块内的液体中蒸汽的总体积。
蒸汽体积分数 - 蒸汽的体积分数。在“添加 XY 图”(Add XY-Plot) 菜单中,蒸汽体积分数简写为“蒸汽体积分数”(Vapor vol fraction)
体积分数 - 选定体积块内或某点处的组分体积除以总体积。