Creo Flow Analysis > 预处理 > 定义物理 > 空化 > 物理 > 控制方程
  
控制方程
对于空化传输模型,液体和气体 (蒸汽和其他可能的气体) 混合物的整体运动被视为可变密度单相流。混合流的一般控制方程组与多组分流的一般控制方程组相同,而传输方程则专门构建用于控制空化中产生的蒸汽质量分数。为了对不可凝结气体的影响进行建模,还可以根据气体模型求解气体质量分数的附加传输方程。针对空化流求解的完整的一般控制方程组如下所示:
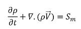
连续性
方程 2.166
其中 Sm 是与空化无关的净外部源或用户源
动量方程
方程 2.167
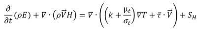
能量方程
方程 2.168
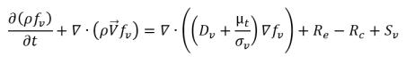
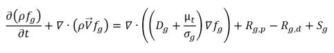
蒸汽质量分数方程
方程 2.169
其中,
fv
蒸汽质量分数
Re
蒸汽产生源 (蒸发)
Rc
汇项 (冷凝)
Sv
外部或用户定义的蒸汽源项
不可凝结气体 (NCG) 质量分数方程
方程 2.170
这是不可凝结气体 (NCG) 的一般传输方程,包括产生项、汇项和外部源项或用户定义的源项。
根据所采用的空化模型,可针对不可凝结气体、溶解气体等求解不同的方程 (介于零与两个之间)。
对于湍流,湍流黏度 μt 是通过求解湍流建模方程获得的。湍流 Prandtl 数 σt、σv 和 σg 为预设的模型参数。湍流模块介绍了有关湍流模型的详细信息。
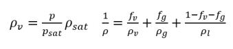
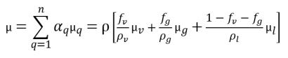
在传输方程中,使用下列关系计算混合属性:
混合密度
方程 2.171
其中,
ρv
蒸汽密度
ρg
不凝性自由气体密度
ρl
液体密度
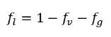
液体和蒸汽密度为常量 (无法压缩) 和/或变量 (可压缩)。但是,在空化模型中,不凝性自由气体密度始终被认为是理想气体密度。请注意,在方程 2.171 中,液体质量分数 ƒl 使用全部组分的质量分数之和等于 1 这一物理约束来计算,遵循以下选项:
方程 2.172
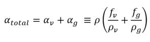
在空化流中,相关参数为蒸汽 αv 或总气相体积分数 αtotal,可以通过所求解的质量分数 ƒv 和自由气体质量分数 ƒg 推导而来。
方程 2.173
方程 2.174
混合黏度
方程 2.175
其中,
μv
蒸汽的动态黏度
μg
不可凝结自由气体
μl
液体
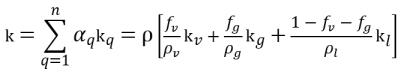
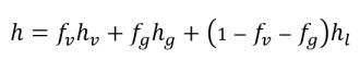
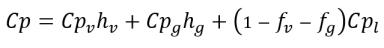
混合热属性
方程 2.176
方程 2.177
方程 2.178
其中,
k
热导率
Cp
等压过程的比热
h
比焓
对于所涉组分,以蒸汽 (v)、不凝性自由气体 (g) 和液体 (l) 的特定下标进行表示。
物理