数值考量
在均匀多相模型中,不用考虑速度滑移,也无需特殊处理即可求解混合动量方程和面体积通量公式。这是因为它们与控制变密度单相流的那些方程相同。本主题重点介绍压力修正方程的构成,以及对相体积分数方程的处理,最重要的是 VOF 模型中的界面解析方案。
体积连续性方程
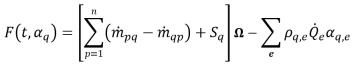
为了满足连续性约束并确保数值稳定性,基于总体积连续性而非质量连续性构造压力修正方程。将第 q 相连续性/体积分数
方程 2.57 除以相参考密度 ρ
rq,并将所有相都组合在一起,由此将得到一个满足质量守恒定律的总体积连续性方程:
方程 2.135
其中,相参考密度通常被设置为相密度,即 ρrq = ρq
引入 Ω 作为计算单元的体积,并在控制体积内对
方程 2.135 进行积分,由此生成离散化的代数方程:
方程 2.136
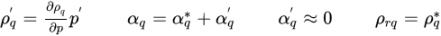
如果采用与“数值方法”中所述基于单相压力的求解器相同的方法,并进行如下假设:
方程 2.137
方程 2.138
方程 2.139
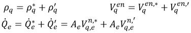
这里的 * 和 ' 表示旧值和修正值。
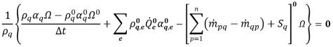
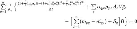
采用与基于单相压力的求解器相同的方法,应用 SIMPLE 类型的算法 (Simple、SimpleC 和 SimpleS) 来关联速度和压力修正值,并获得多相流的压力修正方程:
方程 2.140
其中,
相体积分数方程
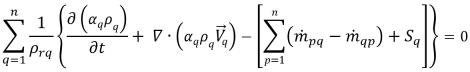
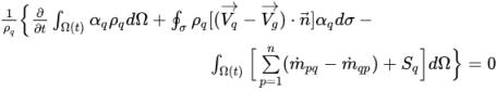
相体积分数的传输受相质量守恒的控制。由于在构造压力修正方程时应用了总体积守恒,因此,针对相体积分数求解的实际方程也采用了体积守恒的形式,以保证数值的一致性:
方程 2.141
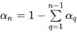
通常,对于 n 相系统,仅求解 (n-1) 个方程,而第 n 相是通过下列物理约束获得的:
方程 2.142
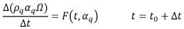
使用离散化方法之后,
方程 2.141 的积分形式如下:
方程 2.143
如动量、能量和总体积守恒方程中所给定的,空间和时间离散化方案对于数值精度至关重要。对于体积分数方程,除了标准隐式时间方案之外,通常的做法是使用具有高分辨率平流方案的显式时间推进,以便您可以更准确地捕获 VOF 模型中的界面。本部分详细介绍了隐式和显式 VOF 公式。
• VOF 隐式公式
利用 VOF 隐式公式,离散相体积分数方程具有以下一般表达式:
方程 2.144
在此方程中,当前时间步长内的相体积分数 α
q 是当前时间步长内其他量的函数。因此,作为动量、能量和压力修正方程,在每个时间步长内对离散化体积分数
方程 2.144 进行迭代求解。在
Creo Flow Analysis 中,采用的隐式公式汇总如下:
◦ 平流方案 - 体积通量

根据当前时间步长的流量字段进行计算。利用单元中心值 α
q,P、α
q,E 及相邻单元 P 和 E 的梯度 (

、

) 对面值 α
q,e 进行逼近。与被动标量方程一样,平流方案具有一般形式:
方程 2.145
使用不同的 γ、βP 和 βE 参数值,以及用来计算体积分数梯度的方案,针对体积分数方程开发了四种平流方案:一阶迎风、二阶迎风、中心差分和高分辨率。
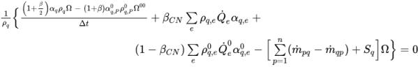
方程 2.146
无上标的变量是在当前时间步长内的值。上标为 0 或 00 的变量用于指示在先前时间步长内的值。
参数 β 和 βCN 在 0 和 1 之间变化,可用于确定时间方案。具体而言,采用下列三种时间方案对相体积分数方程进行离散化:
▪ 欧拉一阶迎风:β = 0,βCN = 1
▪ 三级二阶:β = 0,βCN = 1
▪ Crank-Nicolson 方法:β = 0,βCN = 0.6 (默认)
• VOF 显式公式
当使用显式公式求解 VOF 方程时,根据先前时间步长内的已知量直接计算当前时间步长内的相体积分数。因此,VOF 显式公式不需要每个时间步长内
方程 2.144 的迭代解。但是,由于其余的传输方程是隐式求解的,因此用于体积分数计算的时间步长通常小于用于其他传输方程的时间步长。需要确定显式 VOF 公式的子时间步长,该步长可以自动计算,也可以在
Creo Flow Analysis 中提供。
利用显式公式,离散相体积分数方程式表示为:
方程 2.147
其中,平流项和源项是根据先前时间步长内的已知量计算得出的。体积通量

的计算方法与隐式公式中

的计算方法相同。面体积分数

还可以使用下列四个平流方案之一进行估算:一阶迎风、二阶迎风、中心差分和高分辨率。
Creo Flow Analysis 为显式时间推进方案提供下列三种算法:
• 欧拉 一阶显式 - 对体积分数方程进行离散化,如下所示:
方程 2.148
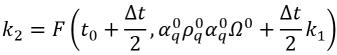
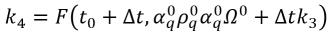
• Runge-Kutta 二阶 - 引入下列函数:
方程 2.149
方程 2.150
此时,二阶 Runge-Kutta 显式方案具有下列形式:
方程 2.151
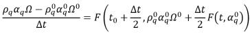
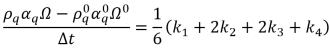
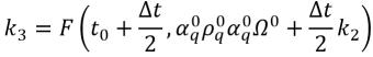
• Runge-Kutta 四阶 - 对于 q 相体积分数方程,四阶 Runge-Kutta 显式方案具有下列形式:
方程 2.152
其中
方程 2.153
方程 2.154
方程 2.155
方程 2.156
对于 n 相系统,通常仅求解 (n-1) 个相体积分数,而从物理约束
方程 2.142 获得剩余的一个相体积分数。不过,您也可以求解所有 n 个相体积分数方程,并通过使用计算所得的总体积分数的总和来缩放每个相,以满足
方程 2.142。这在迭代过程中可能小于 1,也可能大于 1。