|
数值方法选项
|
值
|
说明
|
|
“时间精度”(Time Accuracy)
|
“属性”面板的“时间定义”(Time Definition) 中的“通用”(Common) 模块要素设置为“瞬态”(Transient) 时将会显示。选择“流动”(Flow) 模块,位于“属性”面板“数值方法”(Numerics) > “时间精度”(Time Accuracy) > “[所需方法]”([Desired Method])
|
|
|
“一阶”(First Order)
|
“时间精度”(Time Accuracy) 的默认值。仅根据先前的时间步长,隐式确定时间更新。
|
|
|
“二阶”(Second Order)
|
根据先前的两个时间步长,隐式确定时间更新。先前两个时间步长的相对影响取决于参考位置的“时间混合因子”(Time Blending Factor) 和“混合选项”(Blending Options) (“所有位置”(Everywhere) 或“仅边界”(Boundary Only))。
|
|
|
Crank/Nicolson
|
使用显式或隐式公式的组合,仅基于上一段时间步长确定时间更新。隐式相对于显式的相对影响取决于参考位置的“时间混合因子”(Time Blending Factor) 和“混合选项”(Blending Options) (“所有位置”(Everywhere) 或“仅边界”(Boundary Only))。
|
|
|
“自动松弛”(Automatic Relaxation)
|
“是”(Yes) 或“否”(No)
|
如果在“属性”面板中将“自动松弛”(Automatic Relaxation) 值选择为“是”(Yes),则系统将在 Creo Flow Analysis 中添加压力求解的附加线性松弛,如下所示: ![]() |
|
“松弛”(Relaxation)
|
• 介于 0 到 1 之间
• 典型值介于 0.0 到 0.8 之间。
• 默认值为 0
|
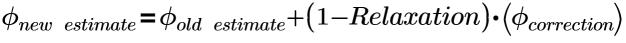
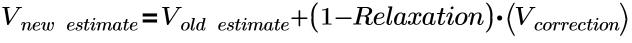
使用以下压力和速度修正公式,控制每个小版本期间应用的修正量: ![]() ![]() • 松弛为 0 表示没有值限制,允许完全应用修正。这是推荐值 (假定收敛无任何问题)。建议使用较高的值 (> 0) 以防止解产生分歧。 • 值 1 最为严格。允许从一个小版本到下一小版本的求解不进行修正。对于“压力”(Pressure),还具有“自动松弛”(Automatic Relaxation)。 |
|
“对角松弛”(Diagonal Relaxation)
|
• 范围从 0 到无穷大
• 典型值介于 0.001 到 1 之间
• 默认值为 0.3
|
应用于求解矩阵对角的松弛形式。与先前时间步长中的旧值影响具有类似的效果。流体模块具有速度和压力修正的分隔值。求解过程中,求解器提供了得出精确求解所需的修正量估计。通常,松弛指的是应用到下一个小版本的推荐修正。
• 假设收敛无任何问题,推荐为“压力”(Pressure) 和“速度”(Velocity) 使用 0.3。如果需要,建议使用较高的值 (> 0.3) 以防止解产生分歧。
• 0 的值没有值限制,允许完整的修正应用。
• 较大的值最为保守,会减慢从一个小版本到下一个小版本的修正速度。
|
|
“数字方案”(Numeric Scheme)
|
“迎风”(Upwind)
|
基于关注界面迎风 (上游) 的单元中的值,设置单元界面处的值。
|
|
“中心”(Central)
|
使用关注界面两侧单元中的平均值设置单元界面处的值。可以通过设置“混合因子”(Blending Factor) 和“已限制方案”(Bounded Scheme) 使用中心差分,从而控制收敛。
|
|
|
“二阶迎风”(2nd Order Upwind)
|
基于关注界面相邻的单元模版,设置单元界面处的值。您可以使用“二阶迎风”(2nd Order Upwind) 以及“混合因子”(Blending Factor) 和“已限制方案”(Bounded Scheme) 来帮助控制收敛。
|
|
|
• “混合因子”(Blending Factor)
|
0.1 至 0.5
|
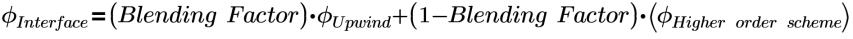
使用混合因子和已限制方案达到稳定收敛的目的。使用“混合因子”(Blending Factor) 以及高阶插值方案 (包括“中心的”(Central) 和“二阶迎风”(2nd Order Upwind))。通过包括使用以下方程的“迎风”(Upwind) 方案,有助于稳定收敛: ![]() • 将“混合因子”(Blending Factor) 设置为“中心的”(Central) 或“二阶迎风”(2nd Order Upwind) 方案。 • 较高的“混合因子”(Blending Factor) 值可以使求解更稳定。 |
|
• “有界格式”(Bounded Scheme)
|
<seg>使用“有界格式”(Bounded Scheme) 以及高阶插值方案 (例如“中心的”(Central) 和“二阶迎风”(2nd Order Upwind))。通过将插值范围限制为不大于或不小于关注单元面相邻单元的最大值或最小值 (分别进行比较),有助于稳定收敛。 ![]() 在“流动”(Flow) 模块下的“属性”面板中,可以为“中心的”(Central) 或“二阶迎风”(2nd Order Upwind) 速度设置“已限制方案”(Bounded Scheme)。 |
|
|
“无限制”(Unlimited)
|
没有位于插值处的边界。
|
|
|
“仅边界条件”(BC Only)
|
仅在边界旁的面上放置边界
|
|
|
“所有位置”(Everywhere)
|
边界将应用至整个域。
|
|
|
“线性求解器”(Linear Solver)
|
AMG (代数多网格求解器)
|
默认值为“压力”(Pressure)
|
|
CGS (共轭梯度平方)
|
默认值为“速度”(Velocity)
|
|
|
“扫描”(Sweeps)
|
默认值为 50
|
Creo Flow Analysis 中的求解过程是迭代的,包括线性求解器。通过将“扫描”(Sweeps) 设置为最大允许值,您可以限制线性求解器中的扫描总数。如果求解器达到最大扫描数,则会前进到下一个变量。
• 线性求解器公差也可控制扫描数。通常,求解器达到最大扫描数之前应获得所需公差。
• 用于给定小版本的扫描数会显示在 .out 文件中,如下所示:
◦ INFO(Sim02:Flow:V:CGS): Residual: 4.19235 Sweeps = 1
◦ INFO(Sim02:Flow:P:AMG): Residual: 52.4886 Sweeps = 2
|
|
“线性求解器公差”(Linear Solver Tolerance)
|
默认值为 0.1
|
Creo Flow Analysis 中的求解过程是迭代的,其中包括线性求解器。通过将“线性求解器公差”(Linear Solver Tolerance) 设置为所需的收敛公差,您可以控制线性求解器中的扫描总数。当给定变量的求解器修正低于其“线性求解器公差”(Linear Solver Tolerance) 时,求解器将前进到下一个变量。
• 对于“流动”(Flow) 模块,“线性求解器公差”(Linear Solver Tolerance) 确定压力和速度求解的线性求解器收敛性标准。
• 值越小表示越精确。
• 较小值的成本为计算时间更长的更多扫描操作。在某些情况下,提高的精度并不值得耗费时间。如果目标收敛性标准极小,则求解器可能无法实现,且求解次数将达到允许的扫描总数。
• 速度和压力的残差会显示在 .out 文件中,如下所示:
INFO(Sim02:Flow:V:CGS): Residual: 4.19235 Sweeps = 1 INFO(Sim02:Flow:P:AMG): Residual: 52.4886 Sweeps = 2
|
|
“压力速度耦合方法”(Pressure Velocity Coupling Method)
|
“简单”(Simple)
|
用于压力链接方程的半隐式方法Ref. Patankar, Numerical Heat Transfer and Fluid Flow, 1980, ISBN 0-07-048740-5
|
|
SIMPLEC
|
常规曲线坐标压力修正方案 (SIMPLEC)。有关压力链接方程的半隐式方法 (一致),请参考:Doormaal, J., and G.D.Raithby, Enhancements of the SIMPLE method for predicting incompressible fluid flows, Num. Heat Transfer 7 (1984), 147–163
|
|
|
SimpleS
|
SIMPLEC 算法的 Flow Analysis 专有扩展。
|
|
湍流模块数值方法选项
|
值
|
说明
|
|
“时间精度”(Time Accuracy)
|
“属性”面板的“时间定义”(Time Definition) 中的“通用”(Common) 模块要素设置为“瞬态”(Transient) 时将会显示。选择“湍流”(Turbulence) 模块,位于“属性”面板“数值方法”(Numerics) > “时间精度”(Time Accuracy) > “[所需方法]”([Desired Method])
|
|
|
“一阶”(First Order)
|
“时间精度”(Time Accuracy) 的默认值。仅根据先前的时间步长,隐式确定时间更新。
|
|
|
“二阶”(Second Order)
|
根据先前的两个时间步长,隐式确定时间更新。先前两个时间步长的相对影响取决于参考位置的“时间混合因子”(Time Blending Factor) 和“混合选项”(Blending Options) (“所有位置”(Everywhere) 或“仅边界”(Boundary Only))。
|
|
|
Crank/Nicolson
|
使用显式或隐式公式的组合,仅基于上一段时间步长确定时间更新。显式与隐式的相对影响取决于参考位置的“时间混合因子”(Time Blending Factor) 和“混合选项”(Blending Options) (“所有位置”(Everywhere) 或“仅边界”(Boundary Only))。
|
|
|
“松弛”(Relaxation)
|
使用以下压力和速度修正公式,控制每个小版本期间应用的修正量:
|
|
|
“对角松弛”(Diagonal Relaxation)
|
0.3, 0.3
|
应用于求解矩阵对角的松弛形式。与先前时间步长中的旧值影响具有类似的效果。
|
|
“数字方案”(Numeric Scheme)
|
空间插值
|
|
|
“迎风”(Upwind)
|
||
|
“中心”(Central)
|
||
|
“二阶迎风”(2nd Order Upwind)
|
||
|
“线性求解器”(Linear Solver)
|
CGS
|
两个参数的默认值
|
|
AMG
|
||
|
“扫描”(Sweeps)
|
500, 500
|
用于给定小版本的扫描数会在 *.out 文件中显示为 INFO(Sim01:Turbulence): Turbulence INFO(Sim01:Turbulence:tke:CGS): Residual: 0.633601 Sweeps = 1 INFO(Sim01:Turbulence:ted:CGS): Residual: 57.816 Sweeps = 1
|
|
“线性求解器公差”(Linear Solver Tolerance)
|
湍流动能和湍流能量耗散率的残差会显示在 *.out 文件中,如下所示:
• INFO(Sim01:Turbulence): Turbulence
• INFO(Sim01:Turbulence:tke:CGS): Residual: 0.633601 Sweeps = 1
• INFO(Sim01:Turbulence:ted:CGS): Residual: 57.816 Sweeps = 1
|
|
|
湍流动能
|
默认值为 0.1
|
|
|
湍流能量耗散率
|
默认值为 0.1
|
|
|
“倾斜项”(Skew Term)
|
“是”(Yes) 或“否”(No)
|
指的是“网格”(Mesh) 中沿对角线连接的单元格之间的链接。这些项可能会降低计算速度,且提供的求解改进通常可忽略不计。默认情况下,这些项不应用于“湍流”(Turbulence) 模块的求解,但可使用“倾斜项”(Skew Term) 选项激活。在“属性”面板中,可为“湍流”(Turbulence) 模块的“湍流动能”(Turbulent Kinetic Energy) 和“湍流能量耗散率”(Turbulent Energy Dissipation Rate) 求解激活“倾斜项”(Skew Term)。
|
|
热模块数值方法选项
|
值
|
说明
|
|
“时间精度”(Time Accuracy)
|
“属性”面板的“时间定义”(Time Definition) 中的“通用”(Common) 模块要素设置为“瞬态”(Transient) 时将会显示。选择“热”(Heat) 模块,位于“属性”面板“数值方法”(Numerics) > “时间精度”(Time Accuracy) > “[所需方法]”([Desired Method])
|
|
|
“一阶”(First Order)
|
“时间精度”(Time Accuracy) 的默认值。仅根据先前的时间步长,隐式确定时间更新。
|
|
|
“二阶”(Second Order)
|
根据先前的两个时间步长,隐式确定时间更新。先前两个时间步长的相对影响取决于参考位置的“时间混合因子”(Time Blending Factor) 和“混合选项”(Blending Options) (“所有位置”(Everywhere) 或“仅边界”(Boundary Only))。
|
|
|
Crank/Nicolson
|
使用显式或隐式公式的组合,仅基于上一段时间步长确定时间更新。显式与隐式的相对影响取决于参考位置的“时间混合因子”(Time Blending Factor) 和“混合选项”(Blending Options) (“所有位置”(Everywhere) 或“仅边界”(Boundary Only))。
|
|
|
“松弛”(Relaxation)
|
使用以下压力和速度修正公式,控制每个小版本期间应用的修正量:
焓 "h" 修正的公式 ![]() |
|
|
“对角松弛”(Diagonal Relaxation)
|
0.3, 0.3
|
应用于求解矩阵对角的松弛形式。与先前时间步长中的旧值影响具有类似的效果。
|
|
“数字方案”(Numeric Scheme)
|
“属性”面板:“模型”(Model) > “数值方法”(Numerics) > “数字方案”(Numeric Scheme) > “[所需方案]”([Desired Scheme])
|
|
|
“迎风”(Upwind)
|
默认为流体相
|
|
|
“中心”(Central)
|
仅适用于流体相。在实体阶段,默认情况下的专门使用“中心”选项。如果选择“中心”选项,混合因子和绑定方案的默认值分别仅为 0.1 和 BC。
|
|
|
“二阶迎风”(2nd Order Upwind)
|
仅适用于流体相。
|
|
|
“线性求解器”(Linear Solver)
|
CGS
|
|
|
AMG
|
能量求解的默认值
|
|
|
“扫描”(Sweeps)
|
对于热方程求解,扫描的默认值为 50。
给定迭代所使用的扫描数会显示在 *.out 文件中,如下所示:
• INFO(Sim01:Heat): Heat
• INFO(Sim01:Heat:T:AMG): Residual: 0.000775839 Sweeps = 1
|
|
|
“线性求解器公差”(Linear Solver Tolerance)
|
能量方程的默认线性求解器公差是 0.1。
热模块的残差会显示在 *.out 文件中,如下所示:
• INFO(Sim01:Heat): Heat
• INFO(Sim01:Heat:T:AMG): Residual: 0.000775839 Sweeps = 1
上述残差相对于时间步长或稳态仿真开始时的第一个小版本进行归一化。这些残差并非线性求解器内的残差。
|
|
|
“温度上限”(Temperature Upper Limit)
|
6000
|
|
|
“温度下限”(Temperature Lower Limit)
|
0.1
|
|
|
“最高温度调整”(Max. Temperature Adjustment)
|
50
|