空化模型理论
在蒸汽传输
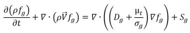
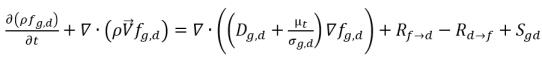
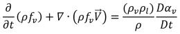
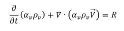
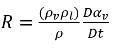
方程 2.169 中,R
e 和 R
c 是与空化流中蒸汽气泡的生长和溃灭相关的质量传递源项。这些项解释了空化过程中气相与液相间的质量交换。R
e 和 R
c 基于
Rayleigh-Plesset 方程实现建模,描述了液体中单个蒸汽气泡的生长。
液汽质量传递
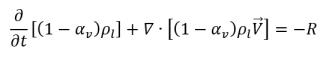
为了推导出空化中净相变速率的表达式,需考虑滑移速度为零的不可压缩液汽两相流,在此不考虑不可凝结气体。如果引入 R 表示从液相到汽相的质量传递净速率,您将获得液体和蒸汽体积分数方程以及总质量连续性方程,如下所示:
• 液相
方程 2.179
• 汽相
方程 2.180
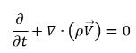
• 混合物 (总质量连续性)
方程 2.181
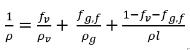
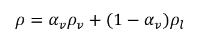
对于液汽两相系统,混合密度 ρ 以蒸汽体积分数和相密度表示:
方程 2.182
由于假设液体和蒸汽密度都是恒定的 (不可压缩),可通过
方程 2.181 和
方程 2.182 推导出速度梯度与蒸汽体积分数之间的关系:
方程 2.183
将
方程 2.179 和
方程 2.183 组合,所得净质量源项的表达式如下:
方程 2.184
将
方程 2.184 代入
方程 2.180,蒸汽体积分数方程可重写为如下一般形式:
方程 2.185
通过应用蒸汽的质量分数与体积分数之间的关系
方程 2.173,得到以蒸汽质量分数表示的
方程 2.185:
方程 2.186
根据
方程 2.185 和
方程 2.186,当液汽两相间的滑移速度为零时,可通过附加的蒸汽质量分数传输方程将空化建模为单相流,或通过液汽质量传递建模为
欧拉 多相混合流。如果不考虑扩散和相速差的影响,这两种方法在数学运算方面是相同的。
Creo Flow Analysis 使用单相方法对空化流进行建模。
气泡动力学考虑
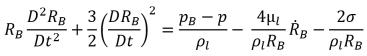
在大多数自然现象和工程系统中,液体中存在足够数量的核 (例如气泡、不可凝结气体等),从而为空化初生提供了条件。因此,为了对空化过程进行建模,应将重点放在正确解释气泡的生长和溃灭过程。假设流动液体中液体与蒸汽气泡间的滑移速度为零,可通过描述液体中气泡生长的广义 Rayleigh-Plesset 方程推导出气泡动力学方程:
方程 2.187
其中,
RB | 气泡半径 |
pB | 气泡内部压力 (不存在其他气体时,假设为液体温度下的蒸汽压) |
p | 液体中气泡周围的压力 |
σ | 液体和蒸汽之间的表面张力系数 |
该方程根据机械平衡 (不存在阻碍气泡生长的热障) 推导得出。
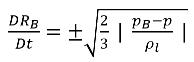
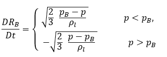
如果忽略二阶时间导数 (适用于低振荡频率)、黏性阻尼项和表面张力,则会得到适用于渐近态的
方程 2.187 的简化表达式:
方程 2.188
这一约化
Rayleigh-Plesset 方程提供用于在空化模型中引入气泡动力学影响的物理方法。气泡半径可增大或减小,具体取决于 (p
B–p) 的符号:当 p<p
B 时,气泡会增大;而当 p>p
B 时,气泡会溃灭。因此,
方程 2.188 重新编写为如下所示:
方程 2.189
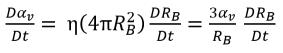
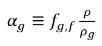
如果 η 为液体中的蒸汽气泡数密度 (每单位体积内存在的气泡数),且所有气泡均为具有相同半径 RB 的完美球体,则所得汽相体积分数如下:
方程 2.190
假设蒸汽气泡无法在液体中产生或破裂,但气泡可以在空化过程中生长 (蒸发) 和溃灭 (冷凝)。在
方程 2.190 中,蒸汽气泡数密度 (η) 保持不变,但气泡半径 (R
B) 可增大或减小。此时,蒸汽体积分数的时间导数可计算如下:
方程 2.191
将
方程 2.191 代入
方程 2.186,得到用于控制汽相质量分数的传输方程:
方程 2.192
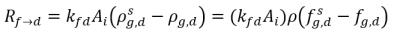
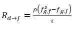
通过应用
方程 2.189,液体与蒸汽之间每单位体积的质量传递净速率形式如下:
方程 2.193
其中,
方程 2.193 表示在空化中,单位体积质量传递速率 (R) 是气相和液相密度 (成正比) 的函数,同时还与混合密度成反比。由于
方程 2.192 直接由相和质量连续性推导出,因此它是精确的,能够准确地表示空化中液相与汽相之间的质量传递。引入气泡动力学之后,
方程 2.193 采用类似的方法对下面两个相反 (即在物理上不同) 的质量传递过程进行建模:从液体到蒸汽 (气泡生长或蒸发),以及从蒸汽到液体 (气泡溃灭或冷凝)。对于蒸汽质量分数传输
方程 2.192,气泡生长是源项,而气泡溃灭则被视为汇项。
在实际空化模型中,局部远场压力 p 通常被认为与单元中心压力相同。如果不存在溶解气体、质量传递和黏性阻尼,则气泡压力 pB 等于饱和蒸汽压 (psat,材料属性),即 pB=psat
将
方程 2.192 和
方程 2.193 与一般蒸汽质量分数
方程 2.169 进行比较,源项 R
e 和 R
c 如下所示:
• 如果局部流压低于饱和蒸汽压,即 p<psat,则仅会发生蒸发,因此:
方程 2.194
• 如果局部流压高于饱和蒸汽压,即 p>psat,则仅存在冷凝:
方程 2.195
几乎所有可用的机械两相空化模型都基于
方程 2.194 和
方程 2.195。
Creo Flow Analysis 采用了
Singhal 等人提出的建模方法。
气体吸收/溶解或释放
工作流体中通常存在不可凝结气体,这些气体会对空化产生显著影响。有时,不可凝结气体会随着流体的流动而自由传输,也会在液体中溶解或释放,本质上是为了实现液相与气相间质量浓度的动态平衡。液体中的气体吸收或溶解和释放也属于液气质量传递现象,这种现象是由质量浓度差和梯度驱动的。要对空化流进行建模,还必须考虑不可凝结气体的影响以及混合流中可能出现的液气质量传递。
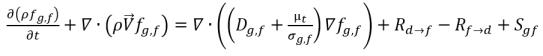
假设在液气两相流中,液相 (溶解气体) 和气相 (自由气体) 中均存在不可凝结气体 (例如空气或氧气),各相的气体质量分数传输方程如下:
• 自由气体 (气相)
方程 2.196
• 溶解气体 (液相)
方程 2.197
其中,
fg,f | 自由气体的质量分数 |
fg,d | 自由气体和溶解气体的质量分数 |
Sg,f, Sg,d | 外部源或用户定义的源 |
Dg,f | 自由气体和溶解气体的扩散系数 |
Dg,d | 溶解气体的扩散系数 |
如果将不可凝结气体的质量分数预设为 fg,则可得:
fg=fg,f
或者通过求解下列方程得出其在空间和时间上的传输:
方程 2.199
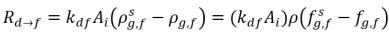
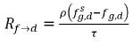
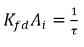
当两相接触时,易发生自由气体 f 和溶解气体 d 从一相传输到另一相,以实现两相间的动态平衡。平衡模型假设质量传递的体积率取决于质量浓度差或梯度:
方程 2.200
方程 2.201
其中,
AI | 液气界面面积 |
kf,d(=kd,f) | 体积质量传递系数 |
ρg,d(=ρfg,d) | 溶解气体的局部质量浓度 |
ρg,f(=ρfg,f) | 自由气体的局部质量浓度 |
| 溶解气体在其主相中的平衡质量浓度 |
| 自由气体在其主相中的平衡质量浓度 |
方程 2.202
方程 2.203
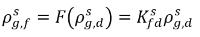
通常

和

不相同 (不连续性)。两种浓度之间存在明确的平衡曲线,它取决于温度、压力和混合物组成物。该曲线通常为单调非线性曲线,且通常表示为与系数

的拟线性关系
方程 2.204
其中 K
f,d 通常用物理定律或经验公式来决定。一种常见的方法就是遵循
亨利定律,该定律提供了广义平衡关系。这表明,对于与气相接触的液体混合物,自由气体的分压 ρ
g,f 等于液相中溶解气体的平衡摩尔分数

与亨利常数 H
x 的乘积:
方程 2.205
如果自由气相遵循理想气体定律,则根据道尔顿分压定律可得下列方程:
方程 2.206
方程 2.207
因此,亨利常数具有压力单位,并且可视为参考压力。假设对于与气体接触的理想液体混合物,亨利常数为饱和蒸汽压 p
sat,则得到
方程 2.207,如下所示:
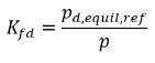
方程 2.208
其中 p
d,equil,ref 为溶解平衡质量分数的参考压力。于是,
方程 2.204 被重写为:
方程 2.209
在
方程 2.202 和
方程 2.203 中,

和

为质量浓度差/梯度,它们是不可凝结气体吸收/溶解和释放的驱动力。这表明,要实现跨越两相的不可凝结气体传输,需满足质量浓度偏离其平衡状态这一条件。质量传递的方向促使系统趋向平衡状态,具体取决于两相的局部和平衡质量浓度。根据平衡模型,可得如下内容:
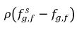
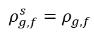
◦ 液体中的气体吸收/溶解 - 发生从气相 (自由气体) 到液相 (溶解气体) 的质量传递。平衡模型假设气相中的自由气体处于平衡状态:

。利用
方程 2.204 和
方程 2.209,得到:
方程 2.210
方程 2.211
方程 2.212
方程 2.213
方程 2.214
请注意,当一部分不可凝结气体溶解到液体中时,可自由膨胀的气体只是仍保持为气相的那部分气体,fg,f。因此,混合密度的计算如下:
方程 2.215
自由气体的体积分数如下所示:
方程 2.216